This page assembles datasets, code, and analytical tools I have developed through my research.
You are invited to use these resources in your work, but please refer to and/or cite the source.
Most items listed here come under a CC BY 4.0 license.
If you have questions or build on these resources, I’d be happy to hear from you!
General purpose data and tools
-
EU Commissioner speeches - Full-text of corpus of all 13,618 speeches between 1985 and 2020
-
ShinyApps for descriptive analysis and sharing of text corpora
Replication data and scripts
Here I list and link replication files for the data analyses in my published academic work. If you are missing something here, please do not hesitate to me directly.
Rauh (2025) - EU actorness in UNGD speeches - International Interactions
Rauh / Parizek (2024) - EU in media debates - Journal of European Public Policy
Rauh (2022) - Clarity of EU Commission press releases - Journal of European Integration
Rauh (2021) - Emergency emphasis in supranational speeches - Journal of European Public Policy
Rauh / De Wilde (2018) - EU salience in parliaments - European Journal of Political Research
Rauh (2016) - EU politicisation and EC consumer policy - ECPR Press
Meijers / Rauh (2016) - EP election campaigns NL/FR - Politics & Governance
Rauh (2015) - EU salience in Bundestag - European Union Politics
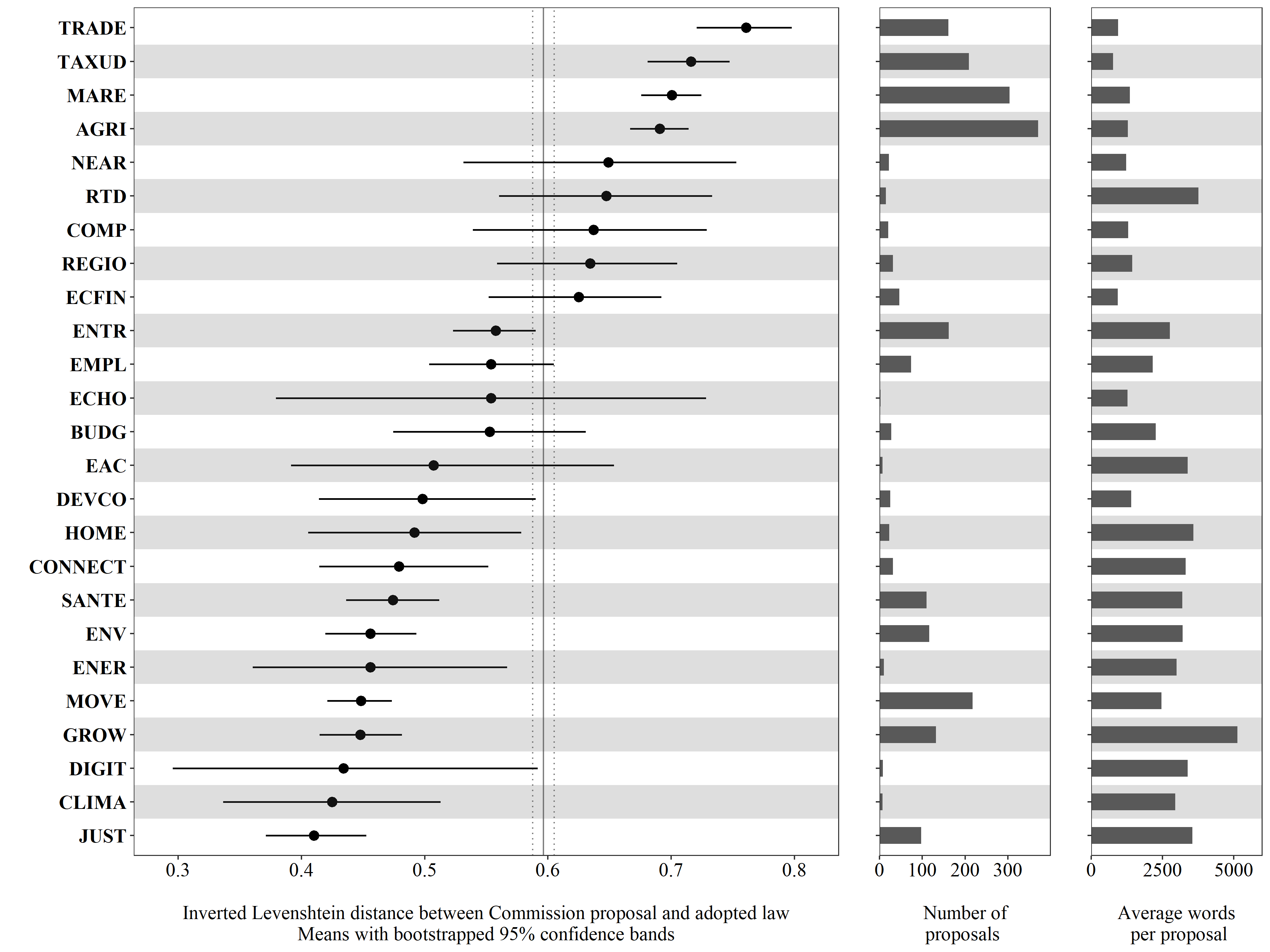
Data visualization examples
Both in my consultancy or academic work, I try to meaningfully visualize the relevant patterns in the data I produce. Here are some published examples (click to enlarge).



















